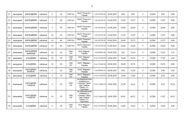
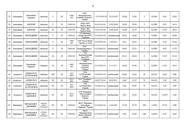
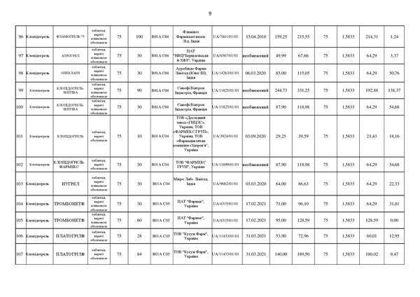
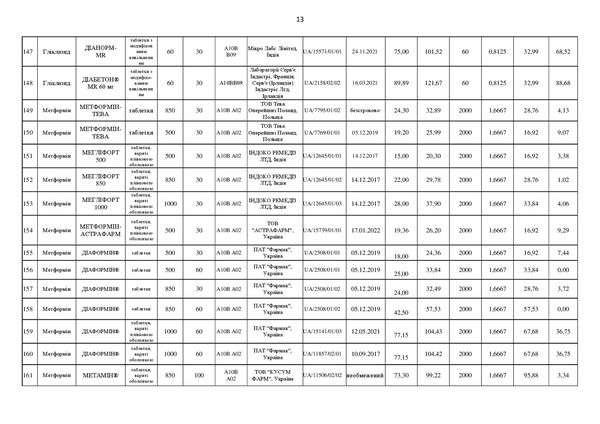
На Волині продовжується реалізація урядової програми «Доступні ліки». Оновлений реєстр
Сьогодні, 31 липня 2017 року, під час оперативної наради в голови Волинської облдержадміністрації Володимира Гунчика заслухали питання про розширення в області мережі аптек, залучених до реалізації урядової програми «Доступні ліки».
Повідомляє відділ інформаційної політики облдержадміністрації.
Так, заступник начальника управління охорони здоров’я облдержадміністрації Іван Грицюк нагадав, що 3 квітня 2017 року в області проведена робоча нарада за участі заступника Міністра охорони здоров’я України Романа Ілика, головних лікарів центрів первинної медико-санітарної допомоги, обласних позаштатних спеціалістів.
“Сесією обласної ради прийнято рішення про перерозподіл цільової субвенції з Державного бюджету місцевим бюджетам на відшкодування вартості лікарських засобів під час амбулаторного лікування осіб, які страждають на серцево-судинні захворювання, цукровий діабет ІІ типу і бронхіальну астму в сумі 13-ти мільйонів 373-х тисяч гривень”, – повідомив Іван Петрович.
Практично за два місяці з 15 травня по 15 липня 2017 року в області уже відшкодовано вартість препаратів на 3 млн 973 тис гривень, що складає 29,6% від загальної суми. Розпорядниками ж державної дотації за програмою «Доступні ліки» у районах області визначено 21 центр первинної медико-санітарної допомоги.
Окремо Іван Грицюк зазначив, що станом на 15 липня поточного року відбулось підписання договорів із 111-ма аптеками у яких і відпускатимуться лікарські засоби, що входять до оприлюдненого реєстру ліків, затвердженого МОЗ України. Позатим, бланками нової форми для отримання рецепту медичні заклади області забезпечені повністю.
Автор статті: Iryna Hupalo

















